Princeton University
2024-02-25
Ordinal response variables
Why you shouldn’t use metric models
Ordinal regression aka proportional odds models aka cumulative odds models
Application: Applying to graduate school
In psychology many variables have a natural ordering
Most common are Likert scale (“Lick-ert”) items
Liddell and Kruschke (2018) surveyed 68 Psychology articles and found that every article used metric models
Three main shortcomings of metric models:
Response categories may not be (e.g. psychologically) equidistant
Responses can be non-normally distributed
Response categories may not be (e.g. psychologically) equidistant
Responses can be non-normally distributed
Can treat differences in variances of underlying variable inappropriately
A simple motivation
You have a continuous latent variable \(\tilde{Y}\) that can be be categorized into bins (K thresholds): \(\tau = (\tau_1, \dots, \tau_k)\)

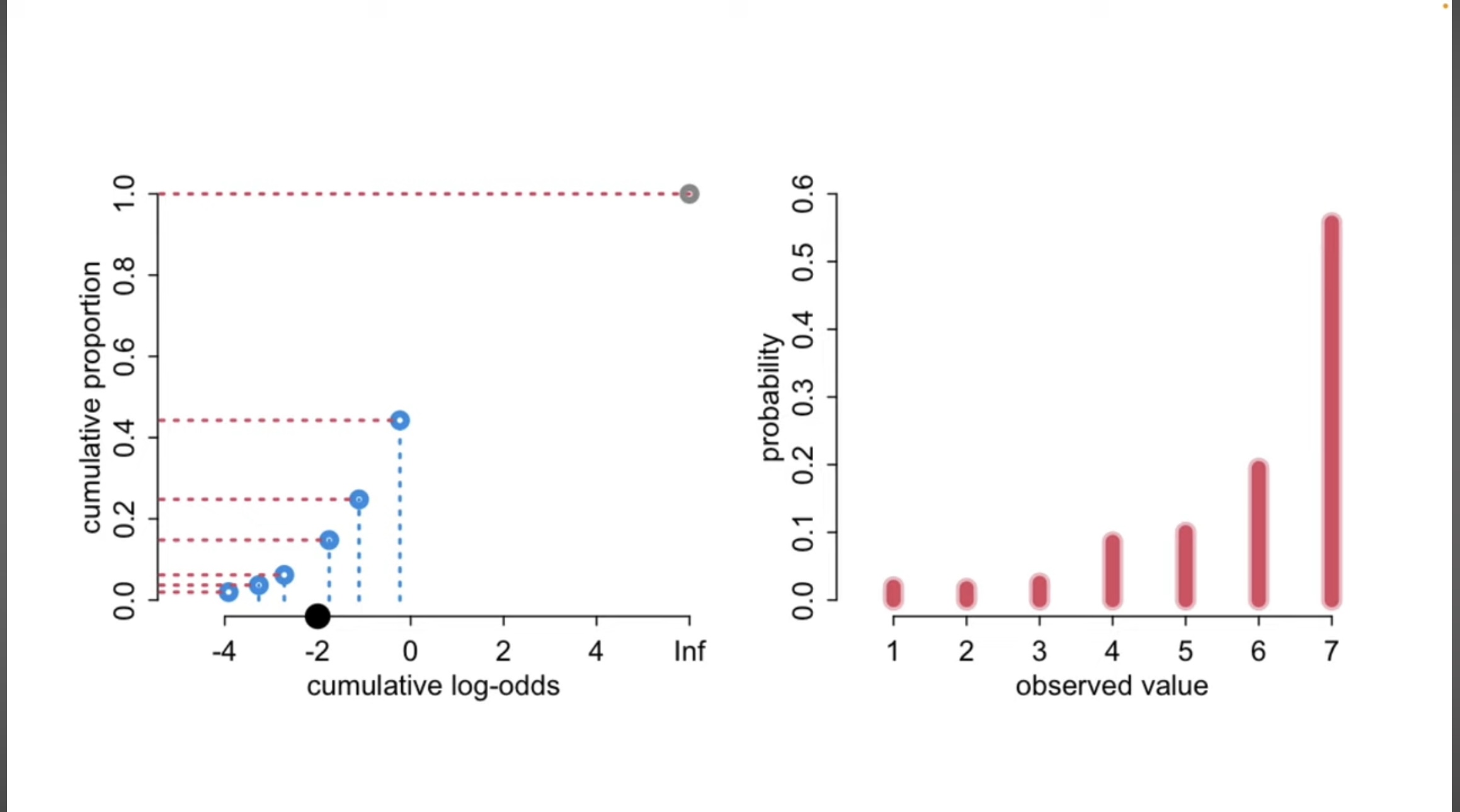
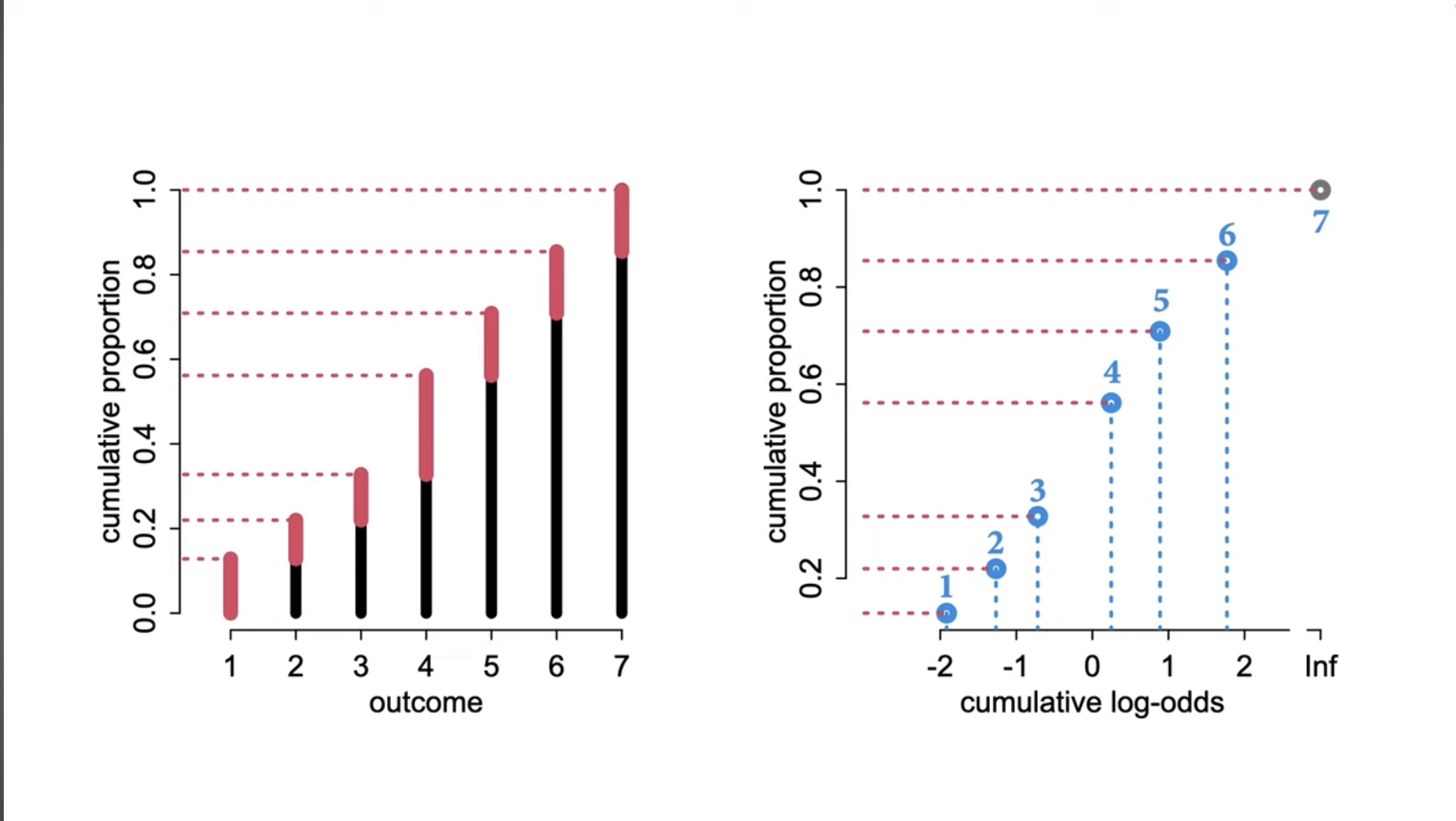
Cumulative probability

| \(P_k\) | Probability of being in category k |
| \(C_{pk}\) | Cumulative probability of being in category k or lower |
| 1- \(C_{pk}\) | Probability of being above category k |
\[\textrm{Odds} = \frac{\# \textrm{successes}}{\# \textrm{failures}}= \frac{\# \textrm{successes}/n}{\# \textrm{failures}/n}= \frac{p}{1-p}\]
Cumulative Odds of being in at least in category k to below category k to above category k
\[C_{pk}/1-C_{pk}\]\[log(C_{pk}/1-C_{pk})\]
Richard McElreath
Richard McElreath
Richard McElreath
\[log (\frac{C_{pk}}{1-C_{pk}}) = \alpha - \beta_{j0}\] \[\begin{array}{rcl} L_1 &=& \alpha_1-\beta_1x_1-\cdots-\beta_p X_p\\ L_2 &=& \alpha_2-\beta_1x_1-\cdots-\beta_p X_p & \\ L_{J-1} &=& \alpha_{J-1}-\beta_1x_1-\cdots-\beta_p X_p \end{array}\]
Here we are estimating J-1 equations simultaneously
Each equation as a different intercept \(\alpha_k\) (thresholds/cut points) but a common slope \(\beta\)
Intercepts are always ordered in size \(\alpha_1\) < \(\alpha_2\)
\[\begin{array}{rcl} L_1 &=& \alpha_1-\beta_1x_1-\cdots-\beta_p X_p\\ L_2 &=& \alpha_2-\beta_1x_1-\cdots-\beta_p X_p& \\ L_{J-1} &=& \alpha_{J-1}-\beta_1x_1-\cdots-\beta_p X_p \end{array}\]
Where:
\(\alpha\) (intercepts/thresholds/cut-offs) = Log-odds of falling into or below category
\(\beta\) = Slope (constant between categories)
\(-\) = Helps with interpretation (positive \(b\) higher chance of being in higher categories)


Undergraduate students report how likely they were to apply to graduate school (apply): “Unlikely”, “Somewhat Likely”, “Very likely”
Got additional information: GPA (gpa), parent education (pared) (college vs. no college), type of schooling (public) (public vs. private)
| apply | n | proportion |
|---|---|---|
| somewhat likely | 140 | 0.35 |
| unlikely | 220 | 0.55 |
| very likely | 40 | 0.10 |
[1] very likely somewhat likely unlikely somewhat likely
[5] somewhat likely unlikely
Levels: unlikely < somewhat likely < very likely
\[\text{logit}(p(y_i \leq j)) = \theta_j - \beta_2 \text{parent_education}_i\]
ordinal::clm can also use MASS:polrformula: apply ~ pared
data: dat
link threshold nobs logLik AIC niter max.grad cond.H
logit flexible 400 -361.40 728.79 5(0) 1.25e-10 9.3e+00
Coefficients:
Estimate Std. Error z value Pr(>|z|)
pared1 1.1275 0.2634 4.28 0.0000187 ***
---
Signif. codes: 0 '***' 0.001 '**' 0.01 '*' 0.05 '.' 0.1 ' ' 1
Threshold coefficients:
Estimate Std. Error z value
unlikely|somewhat likely 0.3768 0.1103 3.415
somewhat likely|very likely 2.4519 0.1826 13.430
Two parts (2 thresholds and 1 coef) - what’s up with that?
| term | estimate | std.error | statistic | p.value | coef.type |
|---|---|---|---|---|---|
| pared1 | 1.127491 | 0.2634324 | 4.280001 | 0.0000187 | location |
| term | estimate | std.error | statistic | p.value | coef.type |
|---|---|---|---|---|---|
| unlikely|somewhat likely | 0.3768424 | 0.1103421 | 3.415217 | 0.0006373 | intercept |
| somewhat likely|very likely | 2.4518560 | 0.1825629 | 13.430201 | 0.0000000 | intercept |
Thresholds (cut-offs)
j = 1: log-odds of rating = 1 vs. 2-3 (when x = 0)
j = 2: log-odds of rating = 1-2 vs. 3 (when x = 0)
| term | estimate | std.error | statistic | p.value | coef.type |
|---|---|---|---|---|---|
| pared1 | 3.087899 | 0.2634324 | 4.280001 | 0.0000187 | location |
Sometimes odds ratios are more meaningful
exp the log cumulative odds!Almost 3x more likely to apply to college if parent went to college
\[p(logit)=\frac{e^{logit}}{1+e^{logit}}\frac{exp(a_k - bx)}{1+exp(a_k - bx)}\]
| group | term | value | pared | estimate | std.error | statistic | p.value | s.value | conf.low | conf.high |
|---|---|---|---|---|---|---|---|---|---|---|
| unlikely | pared | 0 | 0 | 0.5931113 | 0.0266289 | 22.273220 | 0.0000000 | 362.66373 | 0.5409196 | 0.6453030 |
| unlikely | pared | 1 | 1 | 0.3206800 | 0.0532744 | 6.019403 | 0.0000000 | 29.08949 | 0.2162641 | 0.4250959 |
| somewhat likely | pared | 0 | 0 | 0.3275858 | 0.0239325 | 13.687897 | 0.0000000 | 139.25879 | 0.2806789 | 0.3744926 |
| somewhat likely | pared | 1 | 1 | 0.4692270 | 0.0333495 | 14.069986 | 0.0000000 | 146.94870 | 0.4038632 | 0.5345908 |
| very likely | pared | 0 | 0 | 0.0793029 | 0.0133296 | 5.949368 | 0.0000000 | 28.46878 | 0.0531773 | 0.1054285 |
| very likely | pared | 1 | 1 | 0.2100930 | 0.0424965 | 4.943774 | 0.0000008 | 20.31569 | 0.1268014 | 0.2933846 |
| term | group | contrast | estimate | std.error | statistic | p.value | s.value | conf.low | conf.high |
|---|---|---|---|---|---|---|---|---|---|
| pared | somewhat likely | 1 - 0 | 0.1416413 | 0.0269456 | 5.256569 | 0.0000001 | 22.699959 | 0.0888289 | 0.1944536 |
| pared | unlikely | 1 - 0 | -0.2724313 | 0.0584070 | -4.664363 | 0.0000031 | 18.301281 | -0.3869069 | -0.1579558 |
| pared | very likely | 1 - 0 | 0.1307901 | 0.0403250 | 3.243403 | 0.0011811 | 9.725639 | 0.0517546 | 0.2098255 |
brant test
Likelihood of the full ordinal logistic regression model (which makes the proportional odds assumption) to the likelihood of a reduced model that does not make this assumption
if test is violated, there are a few options:
Multinomial regression
Adjacent category model
Non-proportional odds (NPO) model
library(VGAM)
# from textbook
ols_nom <- VGAM::vglm(apply ~ pared,family=cumulative(parallel = FALSE, reverse = TRUE), data=dat)
model_parameters(ols_nom) %>%
kable()| Parameter | Coefficient | SE | CI | CI_low | CI_high | z | df_error | p |
|---|---|---|---|---|---|---|---|---|
| (Intercept):1 | -0.3783364 | 0.1109021 | 0.95 | -0.5957005 | -0.1609724 | -3.411446 | Inf | 0.0006462 |
| (Intercept):2 | -2.4407354 | 0.2006560 | 0.95 | -2.8340140 | -2.0474568 | -12.163778 | Inf | 0.0000000 |
| pared1:1 | 1.1438043 | 0.2924980 | 0.95 | 0.5705187 | 1.7170898 | 3.910469 | Inf | 0.0000921 |
| pared1:2 | 1.0936618 | 0.3703706 | 0.95 | 0.3677487 | 1.8195749 | 2.952885 | Inf | 0.0031482 |
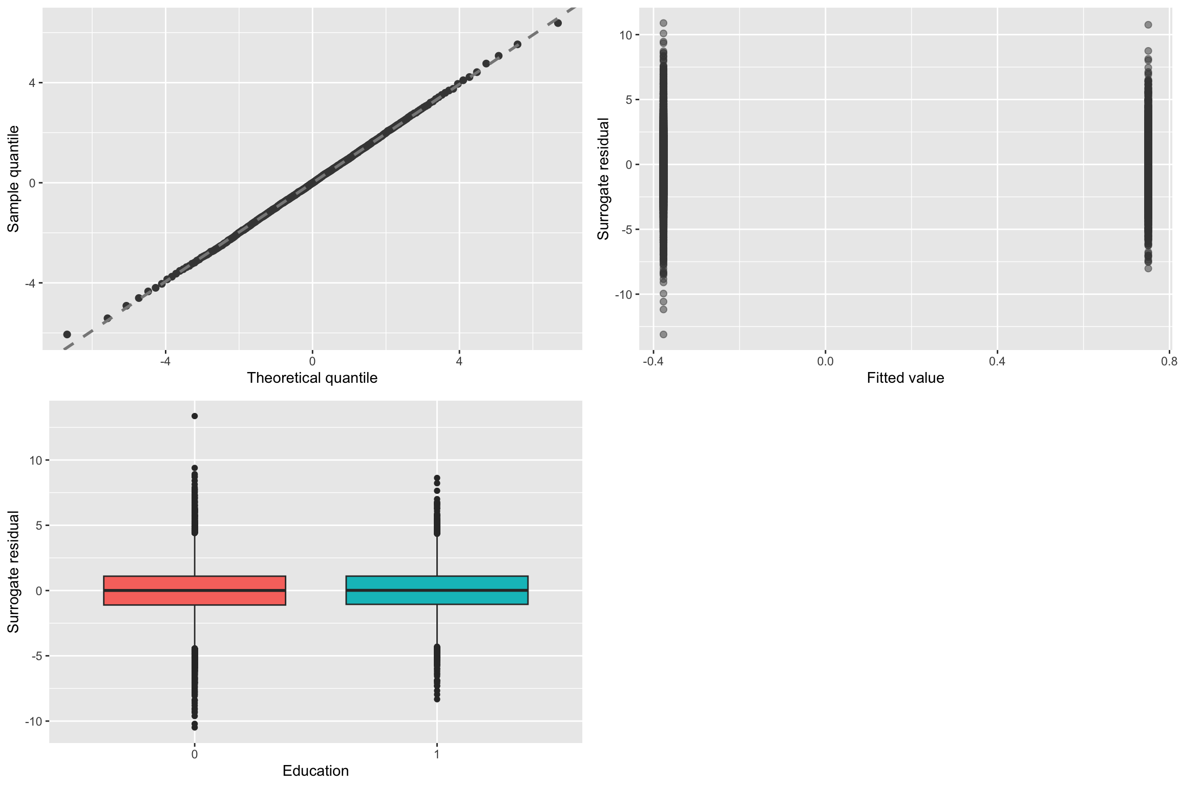
easystats functions :(sure package: surrogate residuals
Note
For multicollinearity look at correlation between variables
| term | estimate | std.error | statistic | p.value | coef.type |
|---|---|---|---|---|---|
| public1 | -0.0621122 | 0.2984302 | -0.2081296 | 0.8351278 | location |
| pared1 | 0.5875071 | 2.1304962 | 0.2757607 | 0.7827319 | location |
| gpa | 0.5918130 | 0.2826551 | 2.0937637 | 0.0362810 | location |
| pared1:gpa | 0.1484331 | 0.6819411 | 0.2176627 | 0.8276920 | location |
Likelihood ratio tests (LRT)
Group Term Contrast Estimate Std. Error z Pr(>|z|) S
somewhat likely gpa +1 0.08675 0.0376 2.307 0.02106 5.6
somewhat likely pared 1 - 0 0.13017 0.0320 4.071 < 0.001 14.4
somewhat likely public 1 - 0 -0.00916 0.0442 -0.207 0.83581 0.3
unlikely gpa +1 -0.14264 0.0584 -2.441 0.01463 6.1
unlikely pared 1 - 0 -0.24714 0.0629 -3.928 < 0.001 13.5
unlikely public 1 - 0 0.01450 0.0694 0.209 0.83455 0.3
very likely gpa +1 0.05589 0.0254 2.200 0.02782 5.2
very likely pared 1 - 0 0.11697 0.0385 3.034 0.00241 8.7
very likely public 1 - 0 -0.00534 0.0252 -0.212 0.83244 0.3
2.5 % 97.5 %
0.01305 0.1605
0.06750 0.1928
-0.09578 0.0775
-0.25716 -0.0281
-0.37047 -0.1238
-0.12156 0.1506
0.00609 0.1057
0.04142 0.1925
-0.05480 0.0441
Columns: term, group, contrast, estimate, std.error, statistic, p.value, s.value, conf.low, conf.high
Type: prob
A proportional odds model was estimated to investigate factors (parent education, GPA, and public schooling) that influence whether undergraduates apply to graduate school (“unlikely,” “somewhat likely,” “very likely”). The overall model fit was poor, McFadden’s pseudo-R2 = .03. Parent education predicted the likelihood of applying to graduate school, b = 1.04, z = 3.942, p < .001, OR = 3.06. Students with parents that went to college increased the odds of applying to graduate school by about 206%. Whether parents went to public or private school did not affect whether students applied to graduate school, b = -0.06, z = -0.197, p = .844, OR = 0.94. GPA was also a significant predictor, b = 0.615, z = 2.363, p < .001, OR = 1.84. Each point increase on GPA was associated with a 84% increase in the likelihood of applying to college.
Repeated measures designs
Clustered/nested designs
PSY 504: Advanced Statistics